API Impurity All Products
We specialize in the synthesis and supply of a comprehensive range of API Impurities, which play a critical role in the development, safety, and quality control of pharmaceutical products. Our product portfolio includes Metabolites, which are impurities formed when a drug is metabolized in the body and are essential for safety and efficacy studies. We also offer Unknown Impurities, which are rare and uncharacterized compounds that may arise during drug development, requiring precise analysis for their identification.
Rivaroxaban Impurity H
| CAS No. | 1770812-37-7 |
|---|---|
| Mol. formula | C19H17Cl2N3O5S |
| Mol. weight | 470.33 g/mol |
| Purity: | Above 96% |
| Packing | Amber Color Glass Bottle |
| Stock Status: In Stock | |
| Product: Rivaroxaban Impurity H | |
| Synonyms: ((S)-4,5-Dichloro-N-({2-oxo-3-[4-(3-oxomorpholino)phenyl]oxazolidin-5-yl}methyl)thiophene-2-carboxamide) |
Rivaroxaban Impurity G
| CAS No. | 446292-08-6 |
|---|---|
| Mol. formula | C22H19N3O6 |
| Mol. weight | 421.40 g/mol |
| Purity: | Above 96% |
| Packing | Amber Color Glass Bottle |
| Stock Status: In Stock | |
| Product: Rivaroxaban Impurity G | |
| Synonyms: Synonyms: (S)-2-({2-Oxo-3-[4-(3-oxomorpholino)phenyl]oxazolidin-5-yl}methyl)isoindoline-1,3-dione |
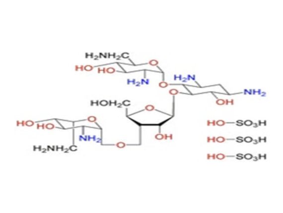
Ipratropium Bromide Monohydrate
| CAS No. | 66985-17-9 |
|---|---|
| Mol. formula | C20H32BrNO4 |
| Mol. weight | 430.38 g/mol |
| Purity: | Above 96% |
| Packing | Amber Color Glass Bottle |
| Stock Status: In Stock | |
| Product: Ipratropium Bromide Monohydrate | |
| Synonyms: (1R,3r,5S,8r)-3-[[(2RS)-3-Hydroxy-2-phenylpropanoyl]oxy]-8-methyl -8-(1-methylethyl)-8- azoniabicyclo[3.2.1]octane Bromide Monohydrate. |
Rivaroxaban Impurity I
| CAS No. | 1151893-81-0 |
|---|---|
| Mol. formula | C24H21Cl2N3O7S2 |
| Mol. weight | 598.48 g/mol |
| Purity: | Above 96% |
| Packing | Amber Color Glass Bottle |
| Stock Status: In Stock | |
| Product: Rivaroxaban Impurity I | |
| Synonyms: 2-[2-[[(5-chloro-2-thienyl)carbonyl][4-[(5S)-5-[[[(5-chloro-2-thienyl)carbonyl]amino]methyl]-2-oxo-3-oxazolidinyl]phenyl]amino]ethoxy] |
Rivaroxaban Open-Ring acid
| CAS No. | 931204-39-6; 931117-61-2 |
|---|---|
| Mol. formula | C19H20ClN3O6S |
| Mol. weight | 453.9 g/mol |
| Purity: | Above 96% |
| Packing | Amber Color Glass Bottle |
| Stock Status: In Stock | |
| Product: Rivaroxaban Open-Ring acid | |
| Synonyms: 2-(2-(4-(5-((5-chlorothiophene-2-carboxamido)methyl)-2-oxooxazolidin-3-yl)phenylamino)ethoxy)acetic acid |
Ethylhexyl, oxy, hydroxyphenyl, methoxyphenyl, triazinyl, benzene, diol
| CAS No. | 633308-76-6 |
|---|---|
| Mol. formula | C30H33N3O5 |
| Mol. weight | 515.61 g/mol |
| Purity: | Above 96% |
| Packing | Amber Color Glass Bottle |
| Stock Status: In Stock | |
| Product: 4-(4-(4-((2-Ethylhexyl)oxy)-2-hydroxyphenyl)-6-(4-methoxyphenyl)-1,3,5-triazin-2- yl)benzene-1,3-diol | |
| Synonyms: 1,3-Benzenediol, 4-[4-[4-[(2-ethylhexyl)oxy]-2-hydroxyphenyl]-6-(4- methoxyphenyl)-1,3,5-triazin-2-yl]; |
2-(4,6-bis(4-methoxyphenyl)-1,3,5-triazin-2-yl)-5-((2-ethylhexyl)oxy)phenol
| CAS No. | 562813-88-1 |
|---|---|
| Mol. formula | C31H35N3O4 |
| Mol. weight | 513.63 g/mol |
| Purity: | Above 96% |
| Packing | Amber Color Glass Bottle |
| Stock Status: In Stock | |
| Product: 2-(4,6-bis(4-methoxyphenyl)-1,3,5-triazin-2-yl)-5-((2-ethylhexyl)oxy)phenol | |
| Synonyms: - |
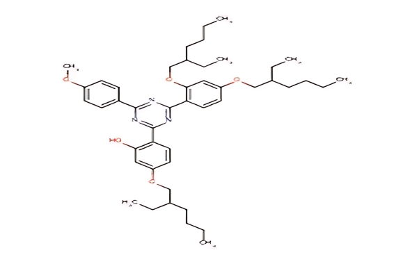
2,4-Bis[2-hydroxy-4-(2-ethylhexyloxy)phenyl]-6-[4-(2-ethylhexyloxy)phenyl] -1,3,5- triazine
| CAS No. | 1946816-71-2 |
|---|---|
| Mol. formula | C45H63N3O5 |
| Mol. weight | 726.02 g/mol |
| Purity: | Above 96% |
| Packing | Amber Color Glass Bottle |
| Stock Status: In Stock | |
| Product: 2,4-Bis[2-hydroxy-4-(2-ethylhexyloxy)phenyl]-6-[4-(2-ethylhexyloxy)phenyl] -1,3,5- triazine | |
| Synonyms: - |
Phenol,2-[4-[2,4-bis[(2-ethylhexyl)oxy]phenyl]-6-(4-methoxyphenyl)-1,3,5
| CAS No. | 600127-05-7 |
|---|---|
| Mol. formula | C46H65N3O5 |
| Mol. weight | 740.04 g/mol |
| Purity: | Above 96% |
| Packing | Amber Color Glass Bottle |
| Stock Status: In Stock | |
| Product: Phenol,2-[4-[2,4-bis[(2-ethylhexyl)oxy]phenyl]-6-(4-methoxyphenyl)-1,3,5- triazin-2-yl]-5-[(2-ethylhexyl)oxy] | |
| Synonyms: Phenol, 2-[4-[2,4-bis[(2-ethylhexyl)oxy]phenyl]-6-(4-methoxyphenyl)-1,3,5-triazin- 2- yl]-5-[(2-ethylhexyl)oxy] |
1,3-Bis(4-tert-butylphenyl)-1,3-propanedione
| CAS No. | 71228-00-7 |
|---|---|
| Mol. formula | C23H28O2 |
| Mol. weight | 336.5 g/mol |
| Purity: | Above 96% |
| Packing | Amber Color Glass Bottle |
| Stock Status: In Stock | |
| Product: 1,3-Bis(4-tert-butylphenyl)-1,3-propanedione | |
| Synonyms: 1,3-Propanedione, 1,3-bis[4-(1,1-dimethylethyl)phenyl]- |
Rivaroxaban Amide Impurity
| CAS No. | 721401-53-2 |
|---|---|
| Mol. formula | C18H20ClN3O4S |
| Mol. weight | 409.89 g/mol |
| Purity: | Above 96% |
| Packing | Amber Color Glass Bottle |
| Stock Status: In Stock | |
| Product: Rivaroxaban Amide Impurity | |
| Synonyms: 5-Chloro-N-[(2R)-2-hydroxy-3-[[4-(3-oxo-4-morpholinyl)phenyl]amino]propyl] -2- thiophencarboxamide |
Rivaroxaban Impurity P
| CAS No. | 482305-98-6 |
|---|---|
| Mol. formula | C18H20ClN3O4S |
| Mol. weight | 409.89 g/mol |
| Purity: | Above 96% |
| Packing | Amber Color Glass Bottle |
| Stock Status: Custom Synthesis | |
| Product: Rivaroxaban Impurity P. | |
| Synonyms: Thiophene-2-carboxamide, 5-chloro-N-(2-hydroxy- 3-((4-(3-oxomorpholino)phenyl)amino)propyl) |






-2-chlorobutyric-acid.jpg)












